

地址:北京市密雲區高嶺鎮政府辦公樓
王經理 13393261468
Q Q:514468705/1049705527
郵箱:jhcxkj@163.com
在《UPS運用》雜誌上看到一篇文章,敘述在工業範疇內UPS的運用。文章詳細剖析闡明晰各種UPS的供電電路,對運用UPS的工業範疇很有含義,值得一讀。自個也曾接觸過工業範疇運用UPS以及運用過程中的某些疑問,對這些疑問也很有愛好,在此談談一些觀點。
在上述文章所羅列的各種電路中都有一個特色,那即是運用的UPS都帶有輸出阻隔變壓器(所謂的工頻機),而旁路也都裝有阻隔變壓器。咱們就能夠從這兒說起。
圖1即是該文中所示電路中的最簡略的一個。

工業用UPS從原則上來講,能夠分成兩種:一種是為生產過程中的電氣設備供電的,這種UPS的選用要看詳細的設備而定,並且UPS的容量都很大,有的就選用動態UPS,對這一種運用UPS的狀況此處不做剖析。另一種則是在工業自動化控製過程中所用設備、器材的電源運用UPS。如發電廠運用的計算機監控體係、數據收集體係、主要的機、電、爐維護體係等就需求運用UPS。又如在石化工廠常常運用的散布控製體係(DCS)也是如此。那裏有一些檢測壓力、溫度、流量等檢測外表、調理外表、控製閥和泵等履行器材。關於此類設備、器材的電源的牢靠性請求是很高的,否則會構成生產過程失調,乃至癱瘓。例如某石化工廠的DCS體係運用的UPS因市電電源中止,而電池中有一塊電池損壞放不出電,DCS體係不能作業,構成生產過程癱瘓。一塊電池很簡略更換,但生產過程設備的整理康複卻用了三天時刻,損失慘重。
這兒評論的是在工業範疇中第二種狀況下運用的UPS。這一類UPS與通常數據中心運用的UPS有許多不相同的特色。
這類UPS的第一個特色是負載與市電電源徹底阻隔。為了防止市電的任何*影響負載的安穩作業,有必要把負載與市電徹底阻隔。這就需求UPS有輸出阻隔變壓器,並且旁路輸入也需求通過一個阻隔變壓器,以確保在旁路作業時也能與市電阻隔。這麽,在負載側就構成了一個獨立的體係,有自個的接地或者是不接地的懸浮體係。
從UPS來看,滿意這種負載的請求,輸出阻隔變壓器是有必要的,而不是額外的。假如選用不帶輸出阻隔變壓器的UPS,就需求外加輸出阻隔變壓器,是否能滿意負載需求,那就要由用戶來斷定了。
這類UPS的第二個特色是負載常常請求單相電源供電,需求選用三相輸入/單相輸出型的UPS。這對UPS來說疑問不大,由於所需UPS容量不大,常常是100kVA擺布。可是關於旁路來說,即是一個值得探討的疑問了。旁路阻隔變壓器用什麽樣的呢?用三相輸入/三相輸出,顯然是不合理的,隻單相帶載,既糟蹋又極不平衡。用單相220V輸入/單相220V輸出,也很不平衡。比較好的方法是用單相380V輸入/單相220V輸出。這麽在電源側的平衡程度要好一些。變壓器的容量能夠按UPS容量來挑選。電源的容量需求按兩相有電流的巨細來思考。此外還有雙變壓器計劃、Scott變壓器計劃、三相五柱變壓器計劃等,但都不如單相380V輸入/單相220V輸出的計劃簡略。
而在市電電壓很不安穩或*較大時,為了在旁路作業狀態下,對負載不產生*,需求在旁路阻隔變壓器的後邊,再加上穩壓器,以確保負載牢靠安穩地作業。這也是常用的一種供電電路。
關於發電廠和變電站用的UPS,在直流環節還要有特別的請求。由於發電廠中有強壯的直流體係,用來為繼電維護體係和高壓開關的驅動裝置供給電源。這個電源有必要十分牢靠,否則會構成體係的失調,變成重大事故。由於有了這個直流電源,UPS就不需求單獨建立自個的直流電源,而是運用公共的直流電源。這麽就帶來兩個疑問:一是UPS的直流電壓需習慣公共的直流電壓,通常發電廠的直流電源電壓是220V,因而UPS的直流電壓要與這個電壓相匹配。另一個疑問是公共直流體係容量很大,有自個的充電電源,不需求UPS充電,電池隻為UPS放電用。所以在電池與UPS直流母線之間要添加防反二極管。發電廠自個的直流體係非常主要,專門有對地絕緣請求,因而請求UPS直流與溝通電源之間有必要阻隔。這麽就在UPS的溝通輸入端添加阻隔變壓器。這個變壓器一起也為直流電壓所需數值供給了便利。平常UPS的直流電壓略高於電池組的電壓,電池對UPS不能放電。
UPS失去溝通輸入時,電池給UPS放電。這個電路如圖2所示。

此外,工業用UPS在維護等級的請求上與通常UPS也有所不相同。通常的UPS所處環境比較好,溫度、濕度、塵土度都能滿意UPS的需求。因而維護等級多為IP20。而工業用UPS所處的環境往往是比較差的。因而對UPS來說,它的維護等級就要高一些。有的乃至要防水滴、通風口要加過濾網等。
從以上介紹能夠看出,工業用UPS供電電路關鍵是需求與市電電源阻隔,而對UPS來說就要有輸出阻隔變壓器。這個變壓器有三個功用:一是阻隔,二是變壓,三是濾波。關於前兩個功用現已介紹過,不再贅述,下麵闡明其濾波功用。
無論是帶變壓器的全波逆變,仍是不帶變壓器的半波逆變,其根本作業原理是相同的。都是選用IGBT功率器材,以脈衝寬度調製(PWM)的調理方法作業。其輸出都有必要有濾波環節,這個濾波器應該是低通濾波器。圖3和圖4分別是這兩類UPS的有些電路圖。


從圖3能夠看出這個濾波電路是串聯電感和並聯電容構成的。可是有變壓器的UPS就不需求串聯電感,它是運用變壓器的漏磁電抗完結的,再外加電容構成濾波電路,如圖4所示。變壓器是兩個繞組相互耦合實現變壓的,由於兩個繞組都有各自的不相互耦合的漏磁,這就構成串聯在電路中的漏磁電抗,這恰恰是濾波的需求。該變壓器的參數請求,有必要滿意按照濾波請求的電抗數值,這就與通常的變壓器不相同了。
關於三相變壓器,其繞組通常選用Δ/Y接線,其原邊選用三角形接線,是由於這麽能夠消除3次及3的倍數次諧波,這是由於三相3次諧波是同相的,它們在三角形繞組中能夠環繞而消除,在副邊就不呈現3次及3的倍數次諧波。關於全部濾波是有利的。
該變壓器還有一個容量疑問,這如同不是疑問,隻需滿意UPS輸出容量請求即可。可是,筆者卻見到過兩個不相同廠家,同一容量的UPS卻有著不相同容量的輸出變壓器。同一台10kVA的三相輸出的UPS。輸出電壓為380V,負載功率因數為0.8。有一廠家是選用10kVA的變壓器,另一家卻不是10kVA。變壓器容量可按照下列計算求得。
咱們知道變壓器後邊有濾波電容,它可濾掉高頻脈衝,關於50Hz頻率來說是一個固定電容支路。也即是說這個電容是並聯在輸出電壓上的,正常時就有一個容性電流流過。它與負載電流一起由逆變器經變壓器的電流承當,如圖5所示。

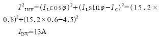
關於咱們介紹的UPS來說,每個濾波電容是22μF,三相做三角形銜接。每相電容的容抗為XCΦ。計算得XCΦ=144.8Ω。每相電容電流為ICф=380/144.8=2.6A。電容電流IC=1.73×2.6=4.5A。
UPS額外負載電流為

圖6是簡化電路圖,圖7是其相量圖。


逆變器經變壓器的輸出電流是

變壓器容量為ST=1.73×380×13=8.6kVA。也即是說用一台8.6kVA的變壓器就能夠滿意UPS輸出10kVA的需求。當然,在實踐挑選時,還須思考高頻電流、過載才能等疑問。筆者就曾見過一台100kVA的UPS的輸出變壓器銘牌的容量是88kVA。
當然,這是在額外狀況下(如上例,IL=15.2A、cosφ=0.8),斷定UPS內部器材的參數。以此來挑選功率器材,製作UPS。在負載不是額外狀況時(cosφ為別的數值),是以逆變器電流不超越斷定數值(如上例,IINV=13A),來斷定負載的巨細(IL的數值),即UPS的帶載才能與額外值會有不相同。
筆者見過一家廠商用10kVA的變壓器,另一家用小容量的變壓器,後來用大容量變壓器廠家也改為用小容量的了。當然變壓器的容量要多大,這與UPS的負載功率因數、脈寬調製頻率、濾波電容的巨細以及UPS設計的輸出功能等要素有關,而不是千人一麵的。可是這通知咱們一個事實,那即是用最小的投入以獲得最大的收益是廠家的製作理念。這麽的案例在UPS產品中仍是多處可見。咱們不能一見到這種如同不合理的狀況,就簡略地認為是廠家以小替大、以次充好,而應仔細剖析。
上麵是研討工業用UPS時,剖析了UPS的輸出變壓器。當然這關於非工業用的UPS也是適用的。
關鍵詞:ups電源參數http://www.st-of.com/list-3-1.html